中国共产党十九届四中全会指出,“当今世界正经历百年未有之大变局,我国正处于实现中华民族伟大复兴关键时期”,必须“坚持和完善中国特色社会主义制度、推进国家治理体系和治理能力现代化”。随着实现国家治理体系和治理能力现代化这一目标的提出,打造具有现代价值理念、专业能力、道德素养、法制、问责、担当、干净的公务员队伍,不断提升公务员的创新意识和创新行为,回应人民群众日益增长的各类需求,应对复杂环境的不断挑战,已经成为中国国家治理体系建设的重要战略议题。
创新行为是公务员责任担当的一个重要体现,是指个体出现新思路,并在思考、研讨后将其转化为客观行为的现象。创新行为是一个复杂的过程,受多种因素的影响。长期以来,一些名目繁多、五花八门的形式主义负担成为基层公务员的“不可承受之重”,影响了他们的工作实效和创新行为,甚至妨碍他们应对重大突发事件的精准施策。“文山会海”成为基层干部的首要负担,因此,研究以会议负担为代表的形式主义对基层公务员创新行为的影响机制具有意义。近年来,形式主义对基层公务员创新行为的负面效应也引起了学者的关注。他们指出,压力大、任务重、“5+2”“白加黑”“连轴转”是基层干部的工作常态。长期高强度、高压力的工作状态,使相当一部分基层干部不堪重负,影响了他们主动担当作为的积极性,基层公务员力图以风险最小化的避责行为来应对日益严格执行的规章制度和行为准则。也有研究发现,繁重的行政负担使基层官员在心理上对上级政策产生抵制情绪,他们倾向于将政策责任和行政任务转移给其他人而不愿意在政策上做创新。已有研究提供了有益的分析视角,但相关研究更多的是基于经验层面的分析,较少用实证的方法深入剖析形式主义负担对我国基层公务员创新行为的影响,更缺乏对中介和调节变量等复杂作用机制的深挖,无法回应现实政府人力资源管理的特定问题。本文基于组织行为学视角,试图分析和解决以下问题:第一,通过实证研究验证会议负担对基层公务员创新行为的负面影响,拓展形式主义的研究内容和研究视角;第二,基于自我调节理论,综合考虑组织和个体两方面因素,引入工作目标进展、会议中心度、心理韧性等变量,分析其在会议负担与创新行为之间的作用机制;第三,针对性地提出基层会议减负的对策建议。
二、理论分析与研究假设
(一)会议负担与创新行为
会议是一种有目的、有组织的议事活动,在我国党政管理体制中,“会议行政”是一种普遍现象。“会议行政”是指行政任务的分配和执行由上级党政部门及同级党政领导班子以会议形式实施、推动和完成的制度化形式。从积极的角度看,作为一种重要的科层动员手段,在政府工作推进过程中,高密度的会议带来了多维度的动员,能够传达上级部门的信息,聚合下级单位的注意力。但是,过多的会议正成为基层公务员面临的一个重要负担。这可以从三个角度进行解释:首先,会议具有一定的强制性。自上而下的会议链条体现着科层制中上级与下级的等级性和权威性,体现了行政控制。基层公务员处于纵向管理层级的末端,为了体现对上级的重视,无论是否有任务在身,无论会议与其工作是否相关,都必须参加,这必然占用他们一定的时间和注意力。其次,会议在某种程度上具有不可预期性。这一方面指的是会议具有突发性,与会者无法准确把会议纳入自己的时间表,另一方面是指会议的长度具有不确定性,与会者难以预期会议持续的时间。最后,会议往往给基层公务员带来一些额外任务,这些临时性工作也会增加他们的负担。因此,本文将会议负担界定为公务员因频繁参加上级会议而感知到的压力。
自我调节理论指出,面对各种负面体验时个体需要消耗自我调节资源。当公务员消耗大量资源应对沉重的会议负担时,他们便无法在其他方面投入足够的资源。而创新恰恰是一种具有高度资源依赖性的行为。个体的创新行为既包括机会的探索、创新想法的形成,也包括创新想法的实施和应用。公务员开展创新活动时需要他们面对已有问题或未来的管理挑战,不断地思考和学习,在调查分析的基础上改进目前的工作方法和工作流程,这常常需要他们投入大量的时间、精力和勇气并获得组织的理解与支持。然而如前所述,公务员用于参会的资源往往干扰了需要投入大量资源的创新活动,因此,本文提出假设:H1:会议负担负向影响基层公务员的创新行为。
(二)工作目标进展在会议负担与创新行为间的中介作用
会议对公务员工作的干扰以及注意力的吸引,往往会中断相关工作目标的进展。自我调节是个体所具有的一种有限资源,能够被其他各种因素所消耗。当前各类形式主义会议占据了公务员的时间和精力,使得他们无暇顾及本职工作。种种急会、不过夜会议的出现更是常常打断公务员手头的工作,使得工作的连续性大大降低。可见,应对会议的负面体验、调整心态重新开始工作的过程中自我调节资源被大量占用,这些是以牺牲工作目标的进展为代价的,因此,我们提出假设:H2:会议负担负向影响基层公务员的工作目标进展。
当公务员的工作进展受到各种各样会议的阻碍时,必然减少在其他行为方面的投入。对于公务员来说,创新是高不确定性、高难度、高回报和低成功率的事件,创新行为的产生需要赋予更高的执行成本。当公务员在参会和恢复手头工作之间不断进行调整时,大量的自我调节资源已经被消耗,原有的工作进展也受到干扰,这时他们往往会减少那些需要努力付出以实现更长远的目标、有助于改变的创新行为,转而把他们的剩余资源分配到最近的、具体的、有时间限制的日常活动。因此,本文提出假设:H3:工作目标进展正向影响基层公务员的创新行为;H4:工作目标进展在会议负担对创新行为的影响过程中具有中介作用,即会议负担会降低工作目标进展进而影响公务员创新行为。
(三)会议中心度、心理韧性的调节效应
1.会议中心度的调节效应。会议中心度是指会议与本职工作任务的紧密程度。通过对基层公务员的调研发现,有些会议走形式、走过场,照本宣科,泛泛表态;有些会议就同一事项议而不决、反复开会;有些会议随意拔高规格、扩大规模,要求基层干部必须参会、陪会。这些会议与本职工作的关联程度并不大,对于工作的推进和创新并无益处。只有那些与工作紧密相关的调研座谈、业务研讨、协调推进等会议,通过与组织内外的沟通与交流,使公务员收获了决策信息、组织支持等资源,从而能够更好地把握工作进度、推进工作落实。因此,我们提出假设:H5a:会议中心度在会议负担和工作目标进展间起调节作用,即会议中心度越高,会议负担对工作目标进展的负向影响越小。
基于前面的描述,进一步指明了一个被调节的中介模型,即工作目标进展的中介作用受会议中心度高低的影响。如果会议内容与实际工作高度相关,即使面临较重的会议负担,也会降低对公务员工作进展的干扰,他们会重新调整自我,进入工作节奏中并不断优化和改进工作方法,更好地完成工作;而如果会议与自己的工作没有什么关联,即使会议带来了相应的工作资源,也因为不是自己的领域而无法利用,会议只会平白地消耗自己的时间和精力,打断工作的连续性,从而对创新行为产生负向影响。因此,我们提出假设:H5b:会议中心度调节了工作目标进展在会议负担与创新行为之间的中介作用,即会议中心度越高,会议负担通过工作进展的中断进而负向影响创新行为的作用就越弱,反之则越强。
2.心理韧性的调节效应。心理韧性是能够从逆境、不确定、冲突和失败中,甚至从积极事件、进步以及与日俱增的责任中恢复过来的能力和意志力。心理韧性与自我调节能力紧密相关,高韧性不意味着个体对消极的环境条件不为所动,而是他(她)能更加有效地应对工作环境。因此,本文提出假设:H6a:心理韧性在工作目标进展与创新行为之间起调节作用,心理韧性越高,工作目标进展对创新行为的影响越大。同样地,心理韧性也会调节工作目标进展的中介作用。心理韧性能够帮助公务员在资源已经受到极大损耗和威胁的情况下不断发掘自己的潜能,乃至占用自己的休息时间,使工作不断推进,并努力开展对组织前瞻性和变革性有益的行动措施。与心理韧性较低的个体相比,高心理韧性的公务员在面对沉重的会议负担时能调整心态,尽力降低对工作进展的干扰,开展维持实现组织长期目标的创新行为。因此,我们提出假设:H6b:心理韧性调节了工作目标进展在会议负担与创新行为之间的中介作用,即心理韧性越高,会议负担通过工作进展的中断进而负向影响创新行为的作用就越弱,反之则越强。本文的研究模型如图1所示。

(一)研究对象与测量工具
本文选取北京、辽宁、河北三地科级及以下的基层公务员进行调查。为减少同源误差,在间隔30天的两个时间点收集问卷。回收的585份问卷中有效问卷514份,有效率回收率为87.9%。样本中男性占40.8%,女性占59.2%;未婚为7.2%,已婚为92.8%;学历方面,研究生学历占9.8%,本科学历占58.2%,大专学历占28.3%,高中及以下学历占3.7%;平均年龄为44岁,平均工作年限为11年。本文从工作压力的定义出发,借鉴Rosen等学者的研究,编制会议负担和会议中心度量表,经测量,量表的信度为0.86和0.87;工作目标进展采用Koopman的问卷,信度为0.85;创新行为采用Scott&Bruce开发的量表,信度为0.91;心理韧性量表取自卢森斯等人的研究,信度为0.78。本文的控制变量包括性别、年龄、学历、工作年限。
(二)样本的效度分析
采用验证性因子分析进行区分效度检验。相比其他模型里的因子组合,会议负担、工作目标进展、创新行为、会议中心度和心理韧性的五因子模型的拟合指数最为理想(C2/df =1.53,RMSEA=0.03,CFI=0.99, NFI=0.97, SRMR=0.04),表明变量具有较好的区分度。此外,平均变异数抽取量(AVE)检验结果表明,5个构念的平均变异抽取量在0.68至0.92之间,均大于它与其他构念间的相关系数平方值,表明构念间区分效度良好。
(三)各变量间的相关分析
公务员感受到的会议负担与工作目标进展负相关(r=-0.55,p<0.01),与创新行为负相关(r=-0.45,p<0.01);工作目标进展与创新行为正相关(r=0.53,p<0.01),与会议中心度正相关(r=0.47,p<0.01),与心理韧性正相关(r=-0.09,p<0.05);创新行为与会议中心度正相关(r=0.16,p<0.01),与心理韧性负相关(r=-0.09,p<0.05)。这些检验结果为假设检验提供了依据。
(四)假设检验
首先,检验会议负担与创新行为之间的关系。数据结果显示,会议负担对于基层公务员的创新行为具有显著的负向影响(r=-0.45,p<0.001)。假设1得到验证。
其次,运用Hayes开发的SPSS宏程序PROCESS V3.4分析工作目标进展的单纯中介效应。如表1所示,在控制了人口统计学变量之后,模型1中会议负担对工作目标进展具有显著的负向影响(β=-0.57,p<0.001),假设2得到验证。模型2中工作目标进展对于创新行为具有显著的正向影响(β=0.45,p<0.001),假设3得到验证。同时,运用偏差校正的非参数百分位Bootstrap法对工作目标进展的中介效应进行检验。结果显示,工作目标进展的中介作用显著,间接效应值为-0.26,占总效应的49.3%, 95%置信区间为[-0.35,-0.17],不包含0。假设4得到验证。

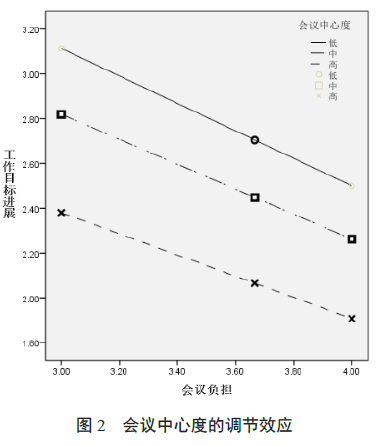
最后,继续运用PROCESS宏程序分析会议中心度和心理韧性的调节作用。结果显示,回归模型3中会议负担与会议中心度的交互作用对于工作目标进展的影响达到了显著性水平(β=0.08,p<0.01),假设5a成立。而回归模型4中,工作目标进展与心理韧性的交互作用对于创新行为的影响并没有达到显著水平,假设6a、6b不成立。为了更直观地呈现会议中心度对会议负担与工作目标进展之间关系的调节效应,研究者绘制了调节效应示意图。如图2所示,在会议中心度较高的情况下,会议负担与工作目标进展的负向关系较弱(β=-0.47,p<0.01);在会议中心度较低的情况下,会议负担与工作目标进展的负向关系较强(β=-0.61,p<0.01)。进一步检验会议中心度对工作目标进展中介效应的调节作用。结果显示,当会议中心度较高时,会议负担通过工作目标进展作用于公务员创新行为的间接效应较弱(间接效应值为-0.28,95%置信区间不包含0);当会议中心度较低时,会议负担通过工作目标进展作用于公务员创新行为的间接效应较强(间接效应值为-0.21,95%置信区间不包含0)。根据Hayes提出的有调节的中介效应检验方法,检验参数Index=-0.04,其95%置信区间为[-0.07,-0.01],不包含0。综合可知,会议中心度对会议负担与创新行为之间关系的中介效应会受到会议中心度的调节。因此,假设5b得到支持。

四、结论与讨论
近年来,党和国家高度重视以文山会海为代表的形式主义问题。2019年3月,《关于解决形式主义突出问题为基层减负的通知》明确将2019年定为“基层减负年”,提出“严格控制层层发文、层层开会,着力解决文山会海反弹回潮的问题”;2020年4月,中央又印发《关于持续解决困扰基层的形式主义问题为决胜全面建成小康社会提供坚强作风保证的通知》,再次强调要“守住精文减会的硬杠杠”“充分调动广大党员、干部的积极性主动性创造性”。在基层减负的政策背景下,本文从会议负担小切口出发,通过实证研究揭示会议负担对公务员创新行为的影响。研究发现,基层公务员感知到的会议负担处在较高的水平,会议负担通过干扰公务员的工作进程显著负向影响其创新行为;会议中心度的调节作用显著,即会议与工作的相关程度越高,会议负担对工作目标进展的负向影响就越小,会议负担通过工作目标进展中断而负向影响公务员创新行为的效应也越小;但是,个体心理韧性在上述关系中的调节作用并不显著,这在一定程度上说明了组织因素相对个体特征而言,对于会议负担影响机制的作用更加明显。
自上而下的制度化开会是中国常见的政治运作模式。通过集体互动形式,会议体现出决策、分权、交流、协调、显示和晓谕等诸多功能,在行政管理体系中发挥了重要的作用。但是,当相当部分的会议附加了监督、控制、问责等维系和管理的工具属性时,会议往往从手段异化为目标,演变为自我服务(self-serving)而非为了组织和社会利益的最大化。现实中的行动逻辑往往是,一方面,上级部门以“迹”为“绩”,在注意力有限的情况下热衷于通过会议数量来衡量基层的工作实绩;另一方面,基层干部“处处留痕、事事留迹”,“虚功实做”,通过各种会议体现对领导决策的重视和对上级指示的贯彻,至于开会的效果如何则无关紧要。这样数量大、占时多、实效差的会议往往不断干扰和中断基层公务员的正常工作流程,使他们“困于会议室”,没有时间和精力投入学习与创新,也无法应对快速变化环境中的复杂问题挑战。结合实证研究结论,本文对会议减负提出以下建议。首先,各级领导应充分认识到过度使用会议工具的弊端,积极落实中央文件精神,汲取“减负年”的有效经验,大刀阔斧“做减法”。通过减少会议数量、压缩会议时长、控制会议规模、革新会议形式、建立会议预告制度等方式,减轻会议对于基层公务员正常工作的打断和创新行为的干扰。其次,避免治理手段对目标的替代,使会议回归“议事”本质,提高会议与工作的关联性,提升会议的效率。最后,相较于组织层面的减负举措,个体因素的作用并不明显,因此,必须对产生会议负担等各类形式主义的结构性根源进行剖析,在强调对基层监督、问责和规范化管理的同时,改变压力型体制下的责任下移,对基层组织重新赋权定位,使基层干部从向上看领导转到“以人民为中心”“卸下形式主义的包袱轻装上阵,集中精力干好实事”。
以文山会海为代表的形式主义作风历来是中国共产党高度重视的问题。早在延安时期,毛泽东就在《反对党八股》等讲话中抨击了“空话连篇,言之无物”的文风会风。邓小平反复强调“开会、讲话都要解决问题”。党的十八大后,习近平总书记更是反复强调“要力戒形式主义、官僚主义”,不断推动相关政策法规的落地,通过干部思想教育和完善体制机制双管齐下的方式整治形式主义。这些为基层减负的努力发挥了重要的作用,但客观的说,形式主义由来已久、成因复杂,具有反复性和顽固性。治理“会海”等顽疾不可能一蹴而就,也绝非朝夕之功,需要学界和实践部门共同努力,创新治理理念和治理工具,探索持续推进基层减负的行动逻辑和治理模式,为基层干部创造空间。
( 胡威,中国人民大学公共管理学院副教授。)
(感谢中国人民大学公共管理学院唐醒同学对本文的贡献)
以上文章原载于《学术研究》2020年第6期,文章不代表《学术研究》立场。
篇幅原因有所删减,未经授权不得转载。

 
	 
				 
						 
						 
						 
						 
							 
				 
					